ГОСТ Р 53447-2009 (ISO 6185-2:2001)
Флаг ГИМС

Государственная инспекция по маломерным судам Ярославской области

Адрес: 150000 г. Ярославль, ул. Кирова 5/23а факс:(4852)79-09-88;тлф. (4852)79-09-57; (4852)79-09-62

Телефон     доверия (4852)79-09-01

    

 

Главная страница  |  Добавить в избранное| Сделать стартовой | Форум ГИМС

Общая информация

Государственные услуги

Об инспекции

Административный регламент

О Государственной гражданской службе

Задачи и функции ГИМС

Права должностных лиц

Структура ГИМС

Границы ответственности подразделений ГИМС

Поиск по сайту

Справочная информация

 Регистрация  судов

Классификация  судов

Освидетельствование маломерных судов

Порядок приема экзаменов

Реквизиты и размеры госпошлины

Таблица штрафов

Документы регламентирующие работу

Безопасность на воде- видео, памятки

Новости, безопасность

Мониторинг СМИ

Вопросы безопасности людей на водных объектах в местном самоуправлении

Фотоотчеты о рейдах и патрулированиях

Разное и полезное

Фотогалерея ГИМС

Анекдоты про моряков, пожарных и гаишников

Downloads, скачать полезное

Заправки для катеров

ГИМС в интернете и другие полезные ссылки

Реклама

 

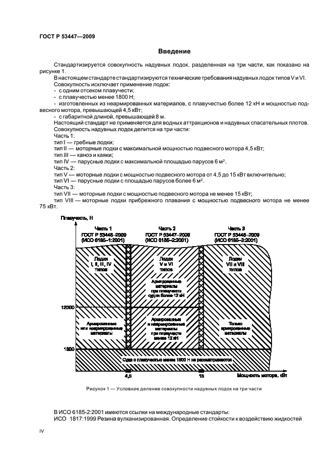
ГОСТ Р 53447-2009 (ИСО 6185-2:2001)

Лодки надувные. Часть 2. Лодки с мощностью мотора 4,5 до 15 кВт включительно

Название анг.: Inflatable boаts. Part 2. Boats with a maximum motor power rating of 4,5 kW to 15 kW inclusive

Описание документа: Настоящий стандарт устанавливает минимальные требования по безопасности, предъявляемые к применяемым материалам, изготовлению и испытанию надувных лодок (включая жесткие надувные лодки) с габаритной длиной корпуса менее 8 м и плавучестью не менее 1800 Н.
Настоящий стандарт применим к следующим типам надувных лодок, предназначенных для эксплуатации при температурах воздуха от минус 15 град. С до плюс 60 град. С:
- тип V – надувные лодки, способные выдержать максимальную мощность мотора до 15 кВт включительно;
- тип VI – надувные парусные лодки с площадью парусов более 6 кв. м (см. приложение A)

Переход в начало страницы.

Электронные учебники

Учебник спасателя

Электронная версия учебника спасателя коллектива авторов С.К., Кудинов С.М., Неживой А.Ф., под общей редакцией Воробьева Ю.Л.), изданного МЧС России

Электронная версия учебника судоводителя любителяЭлектронная версия учебника судоводителя любителя (Б.Карлов, В. Певзнер, П. Слепенков (Управление маломерными судами)

"Энциклопедия безопасности"

Авторы энциклопедии: Громов В.И. Васильев Г.А.

АИС ГИМС МЧС России

АИС ГИМС МЧС России

http://gims.kbor.ru

Проект поддержки АИС ГИМС МЧС России

Погода в Ярославле

Погода на Волге и Рыбинском водохранилище

Серверы прогнозов погоды

Долгосрочный прогноз погоды. Описание народных примет

Противодействие коррупции, контакты

О противодействии коррупции

Контактные телефоны подразделений ГИМС

Задать вопрос начальнику ГУ

Обсудить на форуме ГИМС

Отправить письмо Президенту РФ

 Книга Памяти

Бесплатная отправка SMS

Войти в рубку

Логин:

Пароль:


(что это)

Карта сайта

Открыть "Вестник МЧС России"

Спасатель МЧС России

Российский морской регистр судоходства


Рейтинг - яхты и катера Яндекс цитирования Рейтинг сайтов Ярославля Yarland.ru - Весь город здесь!Официальный сайт Администрации Ярославской области

© 2007-2015 Отдел ГИМС Главного управления МЧС России по Ярославской области. Все права защищены.

WWW http://www.lexxclub.ru, E-mail: gimsyaroslavl@mail.ru, телефон (4852)79-09-85

Идея создания, дизайн и администрирование сайта: Полтавский Виктор Алексеевич